链表的常见操作
1.链表的反转
一般也叫链表的逆序,比如
输入: 1->2->3->4->5->NULL
输出: 5->4->3->2->1->NULL算法:
func reverseList(head *ListNode) *ListNode {
      // 设置前驱节点
    var prev = head
      // 处理链表为空或只有一个元素的情况
    if head == nil {
        return head
    }
    if head.Next == nil{
        return head
    }
      // 设定当前指针
    cur := head.Next
    for  cur.Next != nil{
          // 设置后驱指针
        post := cur.Next
          // 将当前指针的下一跳指向前驱节点
        cur.Next = prev
          // 将前驱设置为当前节点
        prev = cur
          // 将当前节点为后驱(后移)
        cur = post
          // 后驱指针后移
        post = post.Next
    }
      // 处理最后一个节点
    cur.Next = prev
      // 处理原来的投节点(即当前的尾节点)
    head.Next = nil
    return cur
}2. 合并两个链表
将两个升序链表合并为一个新的升序链表并返回。新链表是通过拼接给定的两个链表的所有节点组成的。
示例:
输入:1->2->4, 1->3->4
输出:1->1->2->3->4->4算法:
func mergeTwoLists(l1 *ListNode, l2 *ListNode) *ListNode {
    if l1 == nil {
        return l2
    }
    if l2 == nil {
        return l1
    }
    var res *ListNode
    // 当l1节点的值大于l2节点的值,那么res指向l2的节点,从l2开始遍历,反之从l1开始
    if l1.Val >= l2.Val {
        res = l2
        res.Next = mergeTwoLists(l1, l2.Next)
    } else {
        res = l1
        res.Next = mergeTwoLists(l1.Next, l2)
    }
    return res
}3. 链表判环
给定一个链表,判断链表中是否有环。
算法:
func hasCycle(head *ListNode) bool {
    fast,slow := head,head
    for fast != nil && slow != nil && fast.Next != nil {
        fast = fast.Next.Next
        slow = slow.Next
        if fast==slow {
            return true
        }
    }
    return false
}快慢指针的思想:
- 每次快指针走2步,慢指针走一步 
- 如果链表里有环,那么快指针和慢指针一定对相遇(指向相同的节点) 
这里需要考虑下边界条件,如果快指针、慢指针或者快指针的下一跳为空则表示当前链表无环。
4. 链表的中间节点
给定一个带有头结点 head 的非空单链表,返回链表的中间结点。
如果有两个中间结点,则返回第二个中间结点。
算法:
func middleNode(head *ListNode) *ListNode {
    var step *ListNode
      // 获取链表长度
    var lens int
    step = head
    for step != nil {
        lens++
        step = step.Next
    }
      // 折半遍历
    step = head
    for i:=1;i<=lens/2;i++{
        step = step.Next
    }
    return step
}5. 删除中间节点
实现一种算法,删除单向链表中间的某个节点(除了第一个和最后一个节点,不一定是中间节点),假定你只能访问该节点。
思想:
不能获取链表头,那我们可以通过修改值实现中间节点的删除。
算法:
func deleteNode(node *ListNode) {
    var head = node
    var lens int
    // 后面的元素值赋给自己
    for head.Next != nil {
        lens ++
        head.Val = head.Next.Val
        head = head.Next
    }
    head = node
    // 删除最后一个节点
    for i:=0; i<lens-1; i++{
        head = head.Next
    }
    head.Next = nil
}6. 两个链表的第一个公共节点
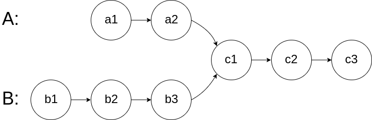
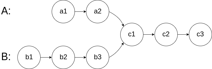
输入两个链表,找出它们的第一个公共节点。
如下面的两个链表:
在节点 c1 开始相交。
思想:
我们可以先计算两个链表的长度,然后让长的链表多走几步,走到两个链表后部分长度一样时,一个一个比较,直到找到相交的第一个元素。
算法:
func getIntersectionNode(headA, headB *ListNode) *ListNode {
    var (
        l1,l2,lose int
        ha = headA
        hb = headB
    )
    for h1:= headA; h1!=nil; h1=h1.Next{
        l1++
    }
    for h2:= headB; h2!=nil; h2=h2.Next{
        l2++
    }
    if l1 > l2 {
        lose = l1 - l2
        for i:=0;i< lose;i++ {
            ha = ha.Next
        }
    }else {
        lose = l2 - l1
        for i:=0;i< lose;i++ {
            hb = hb.Next
        }
    }
    for ha != nil && hb != nil{
        if ha == hb {
            return ha
        }
        ha = ha.Next
        hb = hb.Next
    }
    return nil
}最后更新于

